Best Thread Vwap Engine

... It is time to measure Profits. Yes, there must be a plan to take profits at measured level(s). To me, this has been a stumbling block in my progress as a trader. I find that it is sensitive to a trader's psychoprofile, trading method and of couse, unpredictable random elements. The first two must be synchronised to survive the last variable.

It works like this..
psychoprofile + trading method - random elements = P&L of a trade
 
Projected Profit Level

This has to be determined prior to entering into a position. In other words, it is the expected profits from a trade. It can be a moving target but there must be a target. Only then we can do R:R estimates.

It must work hand in hand with psychoprofile. Say it is 100pips away from entry level then the trader must be capable of seeing through the trade until it reaches the target. This is where a trader makes a difference. Of course, there can be exceptions. Some traders have simple minds- either stoploss or target hit. Somes may have complex minds, if X happens do this or do that. I don't know what it the best way to do it. But in theory, as long as the reason to enter into the trade is still valid, the position must be opened. But do we move the stoploss level then?

There are two school of thoughts with regard to movinging a stoploss to breakeven level.
 
Ok, this is for real. Once I wrote in this journal that I would be testing vwap engine for forex. Well, I have done it and got some working model. For fx, I am using mean in stead of vwap and only hourly chart, anything below that is noisy.

It's simple, I use MACCI OB/OS to sell/buy provided that it stays within "expected trend lines".
 

Attachments

  • GBPJPY 090915-22 MTL.PNG
    GBPJPY 090915-22 MTL.PNG
    82 KB · Views: 331
this area is in simple support zone from yest's congestion high.
 

Attachments

  • 090929GJat0830.PNG
    090929GJat0830.PNG
    42 KB · Views: 297
Last edited:
this thread will mainly be reserved for reflections and note-taking. I am posting live fx trades in my new thread. Pls see my signature.
 
For a short term technical trader, it is an efficient trade if the profit is greater or equivalent to 75% of DAILY ATR. agree?
 
Depends on the risk level in my view.


Paul

Risk is always lower than expected profit. In this case, for an expected profit of 75% of Daily ATR, risk level is 25%-35% of day ATR, usually 1.5 ATR on hourly.

In otherwords, will not risk more than random move on hourly bar.
 
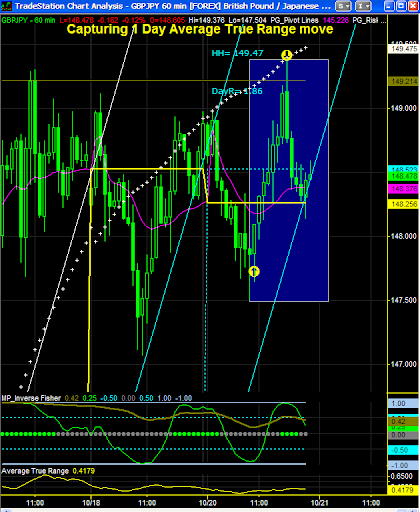
How can we locate a place, where risk is no more than 1.5ATR of 60min, and yet there is a potential to move 75% of Daily ATR?????
 
How can we locate a place, where risk is no more than 1.5ATR of 60min, and yet there is a potential to move 75% of Daily ATR?????

Below is one of the potential places to move 75% of Daily ATR.

EU is in uptrend, daily mean levels are rising and this morning saw a pullback (back to the mean of the day before). Therefore, it has potential to move 1ATR (at least 75%) of daily mean from 1.4714 (m2 dotted line). I have a long position on EU- trade posted earlier in my FX thread.

Stop is 33pips (1.5xATR of 60min, which is 22pips) below 1.4714, = 1.4780.
Target is 1.4816.

65362d1255082318-forex-trading-live-calls-set-ups-091009eu.png
 
EU didn't take off friday but EG did. I was bullish on Euro but not sure which one would actually move daily ATR.
 

Attachments

  • 091009EG.PNG
    091009EG.PNG
    61.3 KB · Views: 286
VE on FX

This is VE framwork being applied to fx. It works well for EURGBP for the last few weeks.
Fx%2BEngine%2B(EURGBP%2Bsample).PNG
 
VE for AAPL

It was pretty simple - it either broke out or failed. The key was to control risk on H1 hourly chart and let the winners run until the trend was undone. It's still in a big down trend.
 

Attachments

  • 2009AAPL_VE.jpg
    2009AAPL_VE.jpg
    168.3 KB · Views: 352
Back
Top