Hawkins the idiot

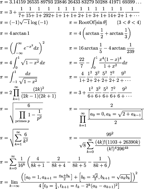
Certainly, this is a function of refractation and magnetismisation. The effects can easily be calculated by using this simple process (or "formulaic", as we scienticians call them):

pi-formulae.png

Wow I always thought it was because the photons were too lazy to reverse in both ways.
Now after carefully looking over your matha-alge-quantics I see it's because they are PAID to not do both.:-0
 
This formula is b*ll*cks. A mirror does not reverse anything it just shows what is on the left is on the left and what is on the right is on the right. It is all about the relative point of the observer. If somebody looks at you then what is on your left is on their right and vice versa.
A more profound question is why does glass reflect at all? (see Feynman QED - a most brilliant read)
 
Probably the single most important factor is what the aliens eat for breakfast.
We better hope either Hawking is right about his black holes or that the young guy is correct that they never occur at all because if they are both wrong then we are not going to be an issue for any aliens in another 10 years because we will all disappear up the a*se of a stable Earth eating black hole created by the LHC


Always knew this chap was a stupid mentally deranged lunatic spewing rubbish.

His recent boll0ck-full theory has proved it beyond doubt.

http://news.bbc.co.uk/1/hi/uk/8642558.stm
 
Certainly, this is a function of refractation and magnetismisation. The effects can easily be calculated by using this simple process (or "formulaic", as we scienticians call them):

pi-formulae.png

Try replacing 'arctan' with 'arc cosecant'...the result is hilarious 😆
 
there is plenty of evidence that aliens have already made contact , i know most people think its a load of ******** but if you consider the billions of galaxy's in the known universe then the billions of stars in each galaxy , the chances of no other intelligent (assuming we are intelligent) life is slim .

 
It annoys me that people talk about 'believing' in aliens. It's not something you do or not believe in.

We can only give a scientific likelihood of how probable it is of the existence of other living organisms on another planet in our universe, which is extremely likely. If you don't agree with my statement then you are delusional, and I would hazard a bet that you are also religious.

I think Hawking raises a good point. We can't even defend ourselves from ourselves, let alone a threat beyond our atmosphere.

Rowan
 
How can you assign a probability to something that has not been observed? Science is based on observable, tangible evidence.

"If you don't agree with my statement then you are delusional"

Too bad your statment is full of ****.
 

there are plenty eyewitness accounts and of course they could all be nutters but you could say there is an 85% chance that 0.01 % of them are real accounts .

there are also accounts from well respected astronauts like Gordon Cooper and Dr. Edgar Mitchell which may raise the probabilities of the 0.01% of supposed nutters .



 
How can you assign a probability to something that has not been observed? Science is based on observable, tangible evidence.

if you would take the time to study the subject you would realize it has been observed , all the information is out there you just have to dig through the bull**** and come to an informed conclusion .
 
How can you assign a probability to something that has not been observed? Science is based on observable, tangible evidence.

And that observable, tangible evidence being our own planet and containing solar system and galaxy 😕 That's what evidence the probability is based upon.

I'm not saying there are aliens, I'm saying that based on the evidence around us, the probability is very high. It's that simple. If you still don't agree then clearly you are delusional.
 
It annoys me that people talk about 'believing' in aliens. It's not something you do or not believe in.

We can only give a scientific likelihood of how probable it is of the existence of other living organisms on another planet in our universe, which is extremely likely. If you don't agree with my statement then you are delusional, and I would hazard a bet that you are also religious.

I think Hawking raises a good point. We can't even defend ourselves from ourselves, let alone a threat beyond our atmosphere.

Rowan

Fair enough comment about probability of finding life. The Drake equation provides a guesstimate. But deriving a probably of finding intelligent life on a par with or "superior" to humans really is just guessing. It may be quite rare or extremely rare. For a start you may well need a billion years or so of relatively stable planetary climate for evolution to do it's business. Nobody knows how common that may or may not be. There are many other requirements as well. Put 'em all together and it may be a really tough set of conditions to meet and probably quite rarely met. Certainly our own little piece of the galaxy is not exactly teaming with "aliens". After fifty or so years, SETI has come up with exactly nothing.

I don't know what Hawking is on about. I find it hard to believe that "aliens" would want our iron ore or uranium or whatever. They could almost certainly get it elsewhere with far less bother. I suppose they might be interested in our biosphere as it is probably quite a rare thing. Given it is very likely such a rare thing, it would seen prudent to take better care of it than we currently do.
 
Fair enough comment about probability of finding life. The Drake equation provides a guesstimate. But deriving a probably of finding intelligent life on a par with or "superior" to humans really is just guessing. It may be quite rare or extremely rare. For a start you may well need a billion years or so of relatively stable planetary climate for evolution to do it's business. Nobody knows how common that may or may not be. There are many other requirements as well. Put 'em all together and it may be a really tough set of conditions to meet and probably quite rarely met. Certainly our own little piece of the galaxy is not exactly teaming with "aliens". After fifty or so years, SETI has come up with exactly nothing.

I don't know what Hawking is on about. I find it hard to believe that "aliens" would want our iron ore or uranium or whatever. They could almost certainly get it elsewhere with far less bother. I suppose they might be interested in our biosphere as it is probably quite a rare thing. Given it is very likely such a rare thing, it would seen prudent to take better care of it than we currently do.

I would tend to agree with the "I'd be surprised if there wasn't something out there" argument - given the vastness of the universe, surley the odds are reasonable that life has developed somewhere else?

As for taking care of our biosphere, I suppose it makes sense in a way if you're that way inclined. Personally though, I have copied my environmental position from that episode of The Simpsons where Homer becomes garbage commissioner. You know the one, Springfield ends up so polluted they abandon it and move the town down the road.

I'm thinking that's probably what we'll end up doing, just on a bigger scale. You see, I can't really be 4rsed with recycling and that, and we'll probably find somewhere else that will be quite like earth. Worth the risk in my opinion.
 
You see, I can't really be 4rsed with recycling and that, and we'll probably find somewhere else that will be quite like earth. Worth the risk in my opinion.

😆! So here's to hoping we find that utopia in the next couple hundred years, what alternative do we have but hope with idiots like you advocating the raping of our planet.

Granted you won't make a diference by yourself, but you get the bigger picture.. right?
 
😆! So here's to hoping we find that utopia in the next couple hundred years, what alternative do we have but hope with idiots like you advocating the raping of our planet.

Granted you won't make a diference by yourself, but you get the bigger picture.. right?

I don't know, there's like what, 30 million people in the UK or something? The world's pretty big you know. I just figured when it gets too crummy here we could move to France or something. And then on somewhere else, you know, and then so on and so on. Eventually, we could go and live on one of the other planets. Maybe something closer to the sun, I don't really like the cold. I reckon it would be nice to be able to go around in shorts and flipflops all the time.

Yeah I probably should join in with washing clothes at 30, recycling, turning taps off and stuff, but it's just a real hassle. I mean seriously, dude, garbage smells man. And it gets like slimy in the bottom of it and stuff. Anyway, don't we send a lot of it to be buried in China these days? So it's not like it's really our problem any more.

And we're not on a metre, so water's free - what's the point of saving it? There's loads about, you know in the sea andd that, and this weekend it must have rained like 10 times.

May I just add Whoooooooooooooooooooosh (no need to duck - it was way over).

Finally, you might find this link useful - it will introduce you to a new concept:

http://dictionary.cambridge.org/dictionary/british/joke_1
 
Yeh, I noted the sarcasm. It sounded like my neighbour and a billion and one other people who feel that "it's not worth doing anything about it". Suppose I should stop dropping that odd cotton bud down the bog to make up for their neglect.
 
can you explain why a mirror gives a reversed image horizontally, but not vertically?
why does left appear on the right, and vice-versa, but top doesnt appear at the bottom?
thanks

I just solved that problem. I lay down and every thing fitted in to place...man, I love them puzzles.:smart:
 
Yeh, I noted the sarcasm. It sounded like my neighbour and a billion and one other people who feel that "it's not worth doing anything about it". Suppose I should stop dropping that odd cotton bud down the bog to make up for their neglect.

LOL

It was more for dcraig1, who's a bit of an eco-nutter (he thinks I'm a denialist oil/tobacco industry stooge, so it's ok). He didn't rise to the bait, which saddens me, but I'm not surprised really. I gave him some savage smackdowns in a previous argument, so he's probably scared (that might work).

Actually, I agree with you - I think that we should certainly think about how we live our lives and the impact this has on the environment. And why would anyone waste heat, light or water - even if you don't care, it's just wasting money (we are on a water metre lol).

As for littering, personally I think corporal punishment is the answer - it drives me round the f****** bend when I see all the junk food wrappers, chewing gum and other detritus that toerags chuck on the ground.

Recycling is a great idea, as long as it makes sense. If a lot of the stuff sorted for recycling is actually packed off to be burned or buried somewhere else, then I have a problem with it.

Same with renewable energy - let's have loads of it, as long as it actually works. The technology we have currently doesn't, but there's no reason to think that situation will last forever. Windmills are useless (have a look at the latest government report) but there will be something that works. Nuclear already does in my opinion, but most environmentalists don't seem to like the idea.
 
Back
Top