Forex trading live calls and set ups

I am thinking of closing this thread (Beachtrader voted a No)


  • Total voters
    29
  • Poll closed .
I wasn't ready to short at that time. I'd been long from 9060 to 9130-150, live call here.

My strategy is not explained here. This thread is just for live calls/set ups. You are welcome to do so, if you want to.🙂..
..
..

Moments ago, EG target hit at 9058 (60pips).👍

No thanks bud, your thread, I'll just observe if that's ok with you. I've thought long and hard re. doing a journal but decided against it, I don't want the added pressure/extra responsibility of having to post trades... total respect to those who do though, including your good self. 🙂 Always willing/excited to see how others trade...
 
Short EG @9056, only 50% size. Stops 20/30, looking for 30pips max.

I must say EG was very naughty. Re-entry order was given just before the fall, but didn't get filled... one of the annoying things about DMA. 😡 [I wish I was using spreadbetting account on this very occasion!!]
 

Attachments

  • 091028EG.PNG
    091028EG.PNG
    39.9 KB · Views: 308
I'll be looking at my crystal ball today.. let's what we have for November.. I will post some set up tomorrow and over the weekend
 
Results for 'live' calls here on this thread for the week

26: EU Long, (SL50/TP50,100), Result = -5
26: GJ Long, (SL100/TP70,140),Result = +70,+140 Both targets achieved
27: EG Short, (SL30/TP30/50),Result =+30,+60 Both targets achieved
28:EG Short, (SL40/TP30,80), Result = +5, Re-entry shorts didn't get filled
29:no trade

Total pips win = 305, pips loss = 5.
 
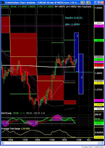
Chart for EU trade in above post. There are two possibilities for 1 Day ATR move. I am going for box 1, therefore took a long trade above MDM(white line). Let's see..

091030EU.jpg
 
End of the week last trades

Remaining 50% out at 4755 (+59pips)- that brings total pips to (49+ 59)=108/2 = +54 for the whole position.

Switching box 2 from box 1 was proven right! (lost 20pips)

[chart attached with approximate entries/exits]

Gross pips for the week is, therefore, +380pips. Adjusted pips is something like +200.

Gotta call it a week!😀

091030EUentryexits.png
 
Last edited:
Cable

GBPUSD has lowering mean lines for the last three consecutive months. If 1.6180 can't hold, I will be selling agressively. If it holds, then a buy program can be launched.
 

Attachments

  • 0910Oct_GBPUSD.jpg
    0910Oct_GBPUSD.jpg
    101.5 KB · Views: 255
Monday Nov 2
Still looking for a nice entry. Resting Sell limit order for USDJPY at 90.20.
 
My bias is box 1, but it could well turn out to be box 2. Still 50% short on UJ.

2.45update: covered the rest +10pips. Don't want exposure before the housing news.
 

Attachments

  • 091102UJ.png
    091102UJ.png
    19 KB · Views: 286
Lucky escape from the spike, UJ net 25 &10 pips for each of 50% units ...🙂
 
GU: Looks like I've missed a nice sell short on cable at 1.6380.
EU: stuck in boxes (literally, between sell/buy meanzones, shown on chart as blue and red boxes)
UJ: Bearish but won't sell yet
GJ: like GU, missed a nice spot to sell from
EG: bullish, but not my place to buy
 

Attachments

  • 091103EURUSD.jpg
    091103EURUSD.jpg
    85.1 KB · Views: 261
Back
Top